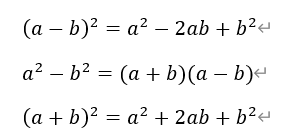
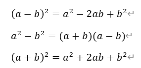
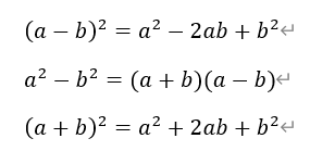
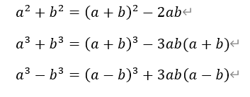
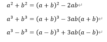
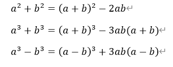
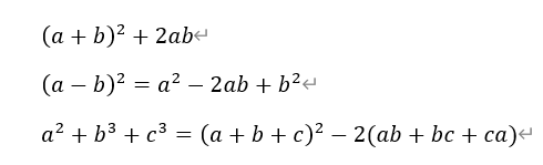
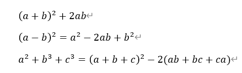
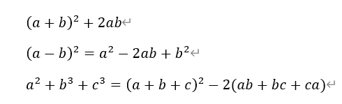
곱셈공식


앞에서 (a-b)를 그대로 가져오고,
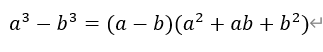
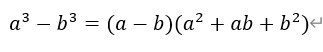
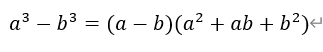
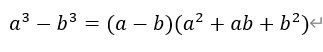
(a-b)에 대해서 앞에 문자 제곱, 앞뒤 곱하고 부호 바꾸기
뒤에 꺼 제곱

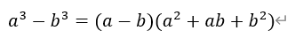
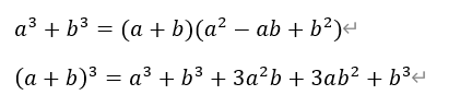
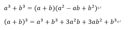
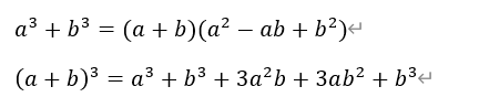
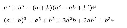
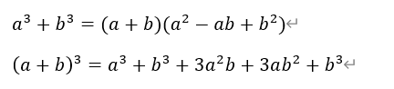
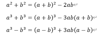
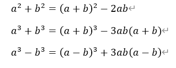
앞 세제곱, 뒤 세제곱
3제곱 곱하기 앞 제곱 뒤 곱하기
3제곱 곱하기 앞 곱하기 뒤 제곱

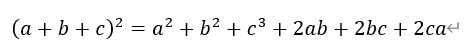
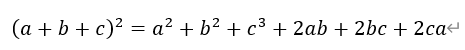
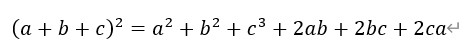
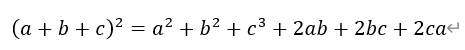
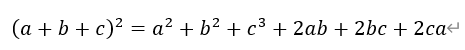
앞 세제곱, 중간 세제곱, 뒤 세제곱
2곱하기 앞, 중간
2곱하기 중간 뒤
2곱하기 뒤 앞

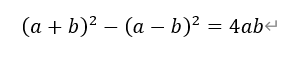
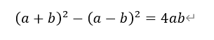
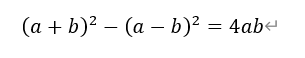
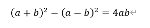
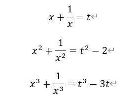
합 제곱 빼기 차의 제곱 = 4배 곱
합과 곱을 알게 되면 차를 구할 수 있고,
차와 곱을 알면, 합을 구할 수 있다.
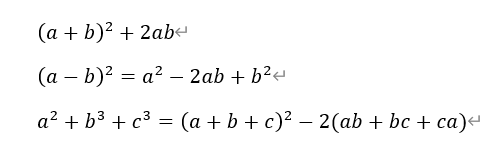
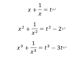
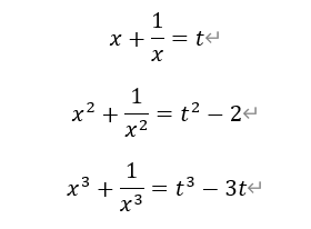
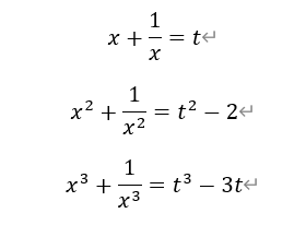
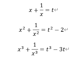
식 변형



| 50일 수학 30강 내용 2021-01-20 (0) | 2021.01.20 |
|---|---|
| 50일수학 29강 내용 2021-01-19 (0) | 2021.01.19 |
| 등식, 방정식, 항등식 기본 , 미정계수 (0) | 2020.01.09 |
| 방정식의 이해 (0) | 2019.04.30 |
| 중학수학 일차식의 덧셈 뺄셈 (0) | 2019.04.08 |
| 중학수학 일차식의 뜻 -1 (0) | 2019.03.11 |